DAB, Plecs Simulation(Multiple Cases)
저번 포스팅에서는 DAB의 기본적인 개념과 원리, 설계 방식에 대해 설명하였습니다.
이번에는 여러 설계 사양을 예시로 계산과정, 시뮬레이션을 진행하여 그 결과를 보여드리려고 합니다.
Output Power 50W, 100W, 150W, 350W 이렇게 4가지의 경우를 놓고 설계를 하였고,
Plecs 프로그램을 이용하여 시뮬레이션하였습니다.
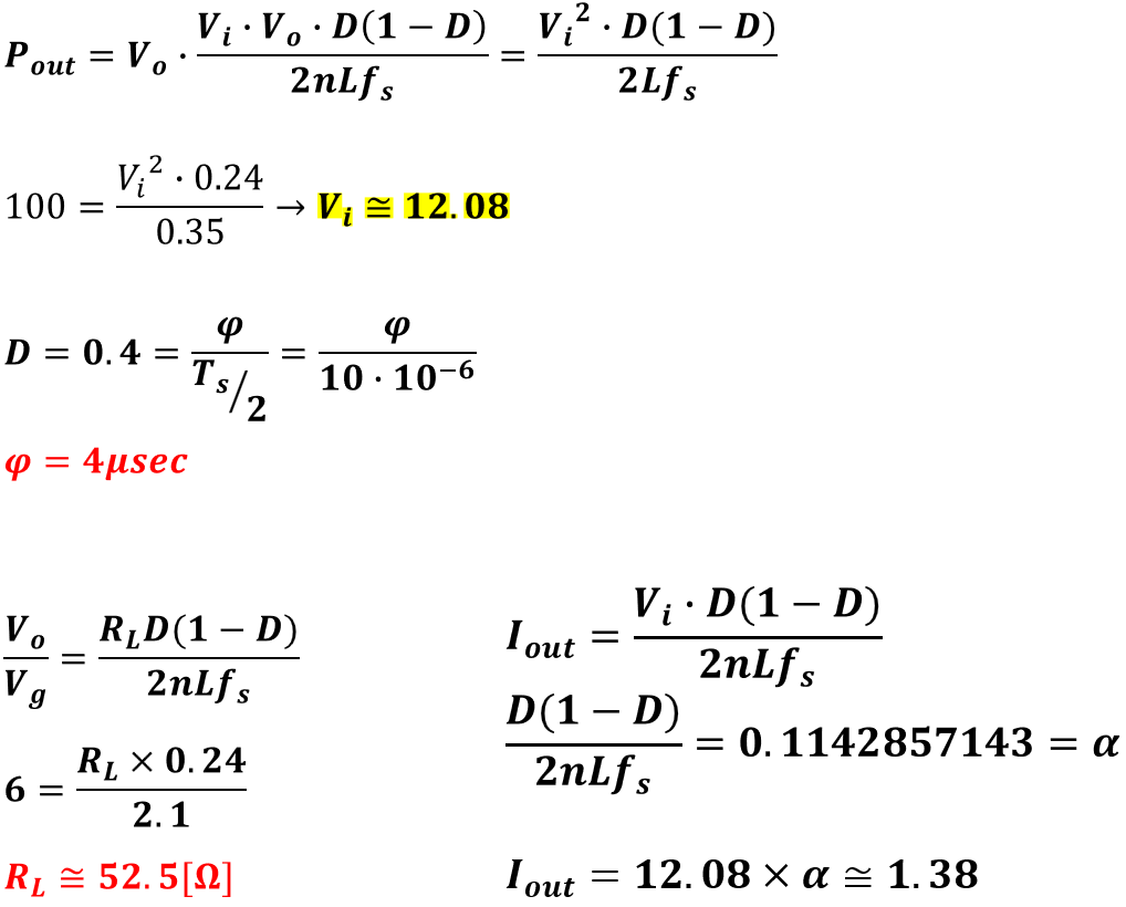
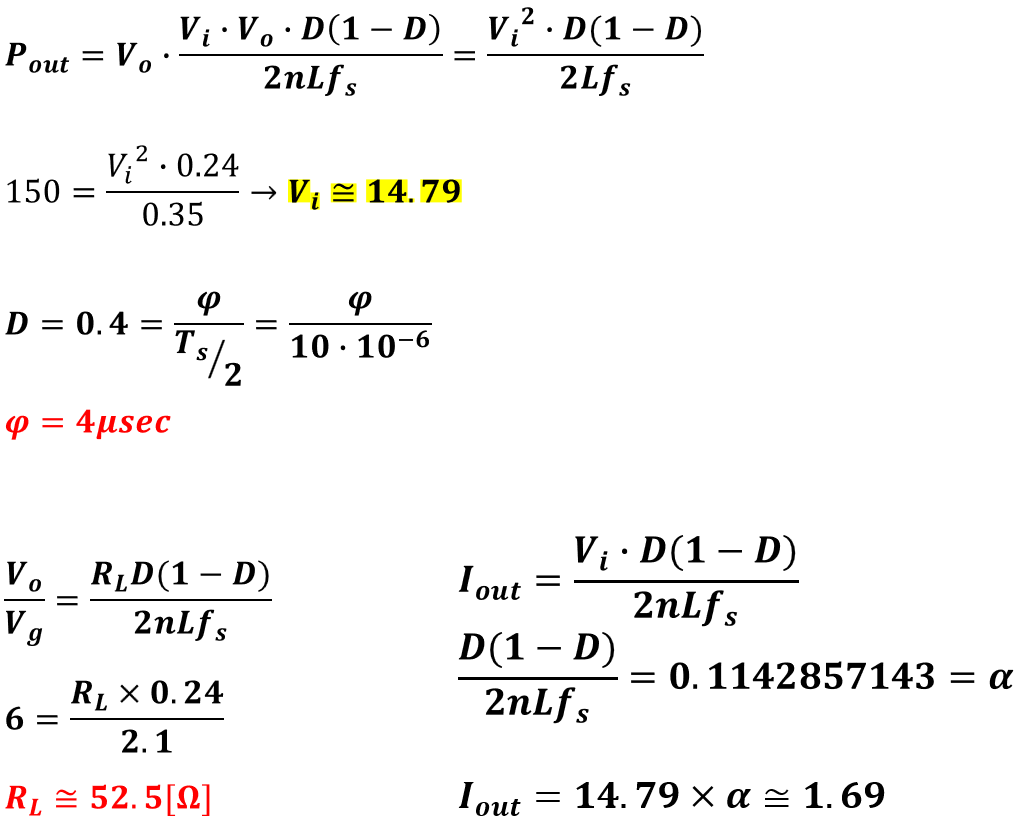
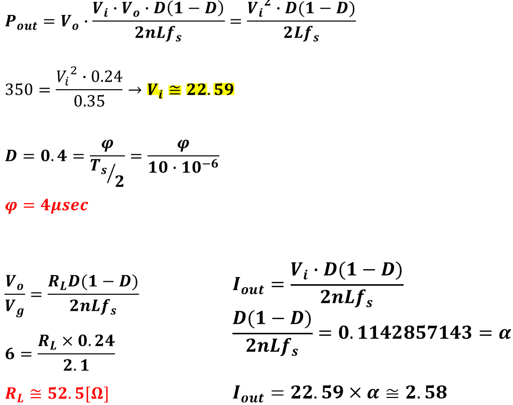
Part 1. Design Specifications
아래 사진에서 빨간 글씨는 모든 경우에서 같습니다.
- Case 1 (50W)


- Case 2 (100W)


- Case 3 (150W)


- Case 4 (350W)



Part 2. DAB Circuit

Part 3. Simulation
지금부터 아래에 보여드릴 각각의 파형들은 위 회로를 설계 사양(조건)에 맞춰 실행시켰을 때,
각 소자의 출력 전압, 전류 그래프 입니다.
- Input Stage Capacitor Current

- Input Stage Capacitor Voltage

- Output Stage Capacitor Current

- Output Stage Capacitor Voltage

- Inductor Current

- Inductor Voltage

- Output Current


- Output Voltage


- Power

1차단과 1차단의 모스펫 전압, 전류 파형은 Amplitude만 차이가 있고 파형의 개형은 같으므로,
100W에서의 파형 사진만 보여드리도록 하겠습니다.
- Primary Mosfet Current (Q1, Q4 / Q2, Q3)

- Secondary Mosfet Current (Q5, Q8 / Q6, Q7)

- Primary Mosfet Voltage (Q1, Q4 / Q2, Q3)

- Secondary Mosfet Voltage (Q5, Q8 / Q6, Q7)



지금까지 여러 케이스를 시뮬레이션하는 과정과 그 값들에 대해 알아보았습니다.
감사합니다.
'학부 자료 > DAB' 카테고리의 다른 글
| [DAB] Dual Active Bridge, Power System and Transfer (1) | 2024.02.15 |
|---|