전자기 간섭(EMI)은 전자 시스템의 설계 및 작동, 특히 고주파 스위칭으로 인해 상당한 잡음이 발생할 수 있는 전력 전자 장치에서 중요하고 꼭 다뤄야 할 문제이다. EMI로 인해 전자 장치의 성능이 저하되고 심각한 경우에는 고장을 유발한다. 이러한 문제를 완화하기 위해 EMI 필터를 사용하여 원하지 않는 잡음을 억제한다.
EMI Filter
1. 자기 인덕턴스(Self Inductance)와 상호 인덕턴스(Mutual Inductance)
EMI 필터는 아래 그림처럼 일반적으로 코어에 두 개의 권선을 감은 형태이다.
토로이달 코어, EE 코어 등 코어의 형태는 다양하지만 기본적인 구성은 인덕터 두 개가 인접해있는 구조이다.

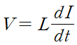
인덕터의 전압과 전류, 인덕턴스의 관계는 다음과 같다.

측정하는 인덕터의 반대편 인덕터의 두 단자를 개방시킨다면, 전류가 흐르지 않기 때문에 측정하는 인덕터의 인덕턴스만 측정된다. 만약, 측정하는 인덕터의 반대편 인덕터의 두 단자를 단락시킨다면, 전류가 흘러 생성되는 자기장으로 인해 측정하는 인덕터에 영향을 주게 된다.
- 자기 인덕턴스(Self Inductance) : 코일(또는 모든 도체)을 통해 흐르는 전류의 변화를 반대하여 도체에 유도 전압, EMF(Electromagnetic Force)를 생성하는 특성이다. 권수, 코일 면적, 코어 재료 등 코일의 물리적 특성에 따라 달라진다.
- 상호 인덕턴스(Mutual Inductance) : 인덕터의 전류 변화로 근처의 다른 인덕터에 EMF를 유도하는 능력. 코일의 물리적 특성, 상대적 방향, 코일 사이의 거리 등에 따라 달라진다.
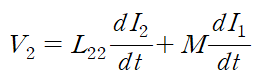
이처럼 측정되는 인덕터의 인덕턴스에 영향을 주는 상호 인덕턴스를 고려한 상황에서 한쪽을 1차 측, 반대편을 2차 측이라고 가정하면,



권선이 밀접하게 같은 턴 수로 결합 되어 있다면 이상적으로 권선의 개별(자기) 인덕턴스값과 상호 인덕턴스값은 거의 같다. 상호 인덕턴스값이 약간 작은 것이 일반적이다.
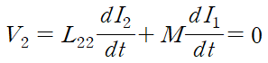
이때, 단락된 측의 인덕터 양단에는 전압이 0이므로(1차 측을 측정한다고 가정),



위 식에서 괄호 내부 항은 2차 측이 단락일 때 1차 측 코일의 유효 인덕턴스를 나타낸다. 따라서 2차 측이 단락일 때 1차 측의 인덕턴스 측정에 영향을 미치게 되고 영향을 주는 인덕턴스를 상호 인덕턴스(M)라고 한다.
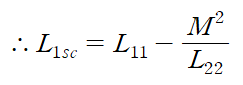
2차 측이 단락일 때의 1차 측 인덕턴스는 아래와 같다.


상호 인덕턴스 M은 측정한 포트 측 코일의 자기 인덕턴스를 M^2/Lopposite 만큼 감소시킨다.
상호 인덕턴스에 대해서 더 간단히 정리를 하면,


상호 인덕턴스의 값은 결합 계수(k)와 자기 인덕턴스의 관계식으로도 구할 수 있다.
*결합 계수 k : 한쪽 코일의 자속이 반대쪽 코일의 전류를 만드는 데 실질적으로 얼마나 사용되는지 표현한 수치



인접한 두 인덕터의 인덕턴스 특성을 행렬로 표현하면 자기 인덕턴스와 상호 인덕턴스의 조합으로 나타낼 수 있다. 이때 개입하는 특성으로 상호성이 존재하는데, 상호성은 유전체, 도체 등과 같이 단순한 선형 재료에서 발생하는 자연스러운 특성이다.

2. 공통 모드(CM)와 차동 모드(DM) 인덕턴스
CM 및 DM 잡음과 관련된 인덕턴스는 EMI 필터 설계에 있어 중요한 매개변수이다. 이러한 인덕턴스를 계산하는 공식은 노이즈 특성과 필터 구성 요소의 물리적 특성을 기반으로 도출된다.
- Common Mode Inductance(Lcm) : 공통 모드 인덕턴스는 공통 모드 노이즈에 반대되는 인덕턴스이다. EMI 필터에서 공통 모드 인덕턴스는 두 라인(동위상)에 모두 존재하는 고주파 노이즈 신호를 차단하거나 감쇠하도록 설계되어 있다. 코어 소재와 권선 구성은 공통 모드 신호의 인덕턴스를 최대화하는 동시에 차동 모드 신호의 인덕턴스를 최소화하도록 선택된다. 또한 CM 모드의 측정에서 두 권선을 통과하는 전류의 방향이 같기 때문에 각 권선에서 생성된 자속이 합산되도록 한다.
일반적으로 Lcm을 측정하는 회로 구성은 아래 그림과 같다.

EMI 필터의 권선이 가동결합한 구조라면,


- Differential Mode Inductance(Ldm) : 차동 모드 인덕턴스는 차동 모드 노이즈에 반대되는 인덕턴스이다. EMI 필터에서 차동 모드 인덕턴스는 라인 사이에서 위상이 다르게 나타나는 노이즈 신호를 차단하거나 감쇠하도록 설계된다. DM 모드의 측정에서는 두 권선을 통과하는 전류의 방향이 달라 두 권선의 자속이 서로 상쇄된다.
일반적으로 Lcm을 측정하는 회로 구성은 아래 그림과 같다.

EMI 필터의 권선이 가동결합한 구조라면,

권선이 이상적으로 결합한 경우엔 각 권선의 자기 및 상호 인덕턴스는 거의 같다.

이상적인 경우, 0으로 간주하지만 실제로는 누설 인덕턴스로 인하여 값이 존재한다.
EMI 필터의 임피던스 값은 코어의 형상과 재료 특성은 물론 권선 구성을 기반으로 분석할 수 있다.
CM 및 DM 인덕턴스를 단일 부품에 통합하려면 전체 주파수 스펙트럼에서 효과적인 잡음 억제를 보장하기 위해 이러한 요소를 신중히 고려해야 한다.
'학부 자료 > EMC' 카테고리의 다른 글
| [EMC] What is EMI(Electro Magnetic Interference)?, 전자기 방해 (0) | 2024.10.10 |
|---|